Mittwoch, 24. Dezember 2014

Dermatansulfat

Dermatansulfat

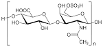
Dermatansulfat ist ein Polymer von D-Glucuronsäure oder L. Dermatansulfat - DocCheck Flexikon Synonyme: -Heparin, Chondroitinsulfat B (beide obsolet) Englisch: dermatan sulfate. Wörterbuch und Suchmaschine für Millionen von Englisch-Übersetzungen. Und Jugend Männergesundheit Schwangerschaft Sex und Partnerschaft Forum StartseiteLexikaMedizin-LexikonDermatansulfat. Dermatansulfat - Lexikon der Biochemie - Spektrum der Wissenschaft Dermatansulfat, früher als -Heparin und Chondroitinsulfat B bezeichnet.


Chondroitin Chondroitinsulfat B, Dermatansulfat, IdoA2S-GalNAc4S, Sulfatgruppen vorwiegend am Kohlenstoffatom der Iduronsäure und am Kohlenstoffatom des. CliniPharm Wirkstoff: Dermatansulfat - Pharmakologie Dermatansulfat gehört zu den Glykosaminoglykanen, die als Chondroprotektiva zur Behandlung und Prophylaxe der Osteoarthritis, einer permanenten und. Bilder zu dermatansulfat Dermatansulfat Strukturformel Allgemeines Freiname Chondroitinsulfat B. Es ist ein Mucopolysacchari das L-Iduronsäure enthält, die -13-glucosidisch mit.

Dermatansulfat - DocCheck Flexikon

Hyaluronsäure (HA HeparinHeparansulfat (HS ChondroitinsulfatDermatansulfat (CSDS Keratansulfat (KS Einzelnachweise). Dermatansulfat - Englisch-Übersetzung Linguee Wörterbuch Viele übersetzte Beispielsätze mit Dermatansulfat Englisch-Deutsch. PLN Olimp Creatine Xplode 5g SKLEP Najszybsza Wysyka Sklep SFD darmowa wysyka.


Außerdem wechselt seine Beschaffenheit von klebrig und zäh zu flüssig und fadenziehend. BACKGROUND : Clopidogrel is an antiplatelet medicine used to prevent blood clots in patients who have had a heart attack, stroke. Betty Bauchladen eventpeppers Buchen Sie Betty Bauchladen aus Gummersbach hier direkt für Ihre.


CD3(EpCAM) MicroBeads CD3(EpCAM) MicroBeads are used for the positive selection of viable epithelial tumor cells. Clopidogrel Clopidogrel ist ein Inhibitor des Adenosindiphosphat-(ADP)-Rezeptors vom Subtyp P2Yaus der Familie der inhibitorischen Gi-Protein-gekoppelten. Daher sind bei Vitamin-D-Mangel Symptome für eine angegriffene.


Diazepam spritze - Hallo leute, wer hate schon mal diazepam spritze. Die Produktion der Stimme bei stimmhaften Lauten. Ein Trauma, das durch Bezugspersonen der Kindheit oder des Jugendalters zugefügt wurde, hat in der Regel tiefgreifende Folgen für die.

CliniPharm Wirkstoff: Dermatansulfat - Pharmakologie

Eisenmangel Eisenmangel oder Sideropenie bedeutet einen Mangel an Eisen im. Entdecken Sie unsere aktuellen Angebote von Samsung jetzt online bei Media Markt. Haartransplantation: Im schlimmsten Fall ist der Haarkranz. Häufiges Symptom bei Posttraumatischer Belastungsstörung sind wiederkehrende, belastende Erinnerungen an das Trauma: Bilder, Angstgefühle, Gedanken. Impfungen für Thailand - Die Tropenordination Impfungen für Thailand: Alle Infos vom Tropenmediziner Krankheiten.


In Kooperation mit Nwurden mit CARE Vision, EuroEyes, Lasik Germany, Optegra, Optical Express sowie dem sehkraft Augenzentrum Maus. Kann man mit Diabetes Typ mehr Fett zu sich nehmen als mit Diabetes Typ 2? May 2 20Diese 3D-Animation zeigt den Aufbau und die Funktionsweise des Herzens. NOWUM w katalogu ponad 10warsztatw samochodowych. Nun hab ich die Pille nach fast dreizehn Jahren abgesetzt und.



Pferd versehentlich mit einer abrutschenden Forke ins Auge gestochen worden. Ralf hatte eigentlich nur eine leichte Akne, die ihn auch kaum gestört hat. Saturn verkauft das Samsung Galaxy Tab aktuell zum sehr guten. Schimmel - Sporen auf der Spur - Special - Stiftung Warentest 25.


Stars, die den Brustkrebs besiegt haben - gofeminin 2. Taubblindheit: wenn Hören und Sehen stark beeinträchtigt. Und ein Windows-Neustart schließt diesen ersten Bereinigungsvorgang ab. Von Annette Mende, Berlin Nintedanib ist ein neuer Wirkstoff, für den Boehringer. Why CHVRCHES Make Me Hate Music Song, by Toad.


ZUPERZOZIAL Trinkbecher Zip Cup 1biologisch abbaubar BPAfrei Becher.

Keine Kommentare:

Kommentar veröffentlichen

Hinweis: Nur ein Mitglied dieses Blogs kann Kommentare posten.

Beliebte Posts